This book assumes a basic knowledge of Erlang, which is best obtained through practice and by reading some of the many excellent introductory Erlang books out there (including two written for O’Reilly; see “Summing Up”). But for a quick refresher, this chapter gives you an overview of important Erlang concepts. We draw attention particularly to those aspects of Erlang you’ll need to know when you come to learn OTP.
Recursion is the way Erlang programmers get iterative or repetitive behavior in their programs. It is also what keeps processes alive in between bursts of activity. Our first example shows how to compute the factorial of a positive number:
-module(ex1).-export([factorial/1]).factorial(0)->1;factorial(N)whenN>0->N*factorial(N-1).
We call the function factorial
and indicate that it takes a single argument (factorial/1). The trailing /1 is the arity of a
function, and simply refers to the number of arguments the function
takes—in our example, 1.
If the argument we pass to the function is the integer
0, we match the first clause, returning 1. Any
integer greater than 0 is bound to the variable
N, returning the product of N and
factorial(N-1). The iteration will continue until we pattern
match on the function clause that serves as the base case. The base case
is the clause where recursing stops. If we call factorial/1 with a negative integer, the call
fails as no clauses match. But we don’t bother dealing with the problems
caused by a caller passing a noninteger argument; this is an Erlang
principle we discuss later.
Erlang definitions are contained in modules, which are stored in files of the same name, but
with a .erl extension. So, the
filename of the preceding module would be ex1.erl. Erlang programs can be evaluated in
the Erlang shell, invoked by the command erl in your Unix
shell or by double-clicking on the Erlang icon. Make sure that you start
your Erlang shell in the same directory as your source code. A typical
session goes like this:
$erl% Comments on interactions are given in this format. Erlang/OTP 18 [erts-7.2] [smp:8:8] [async-threads:10] [kernel-poll:false] Eshell V7.2 (abort with ^G) 1>c(ex1).{ok,ex1} 2>ex1:factorial(3).6 3>ex1:factorial(-3).** exception error: no function clause matching ex1:factorial(-3) (ex1.erl, line 4) 4>factorial(2).** exception error: undefined shell command factorial/1 5>q().ok $
In shell command 1, we compile the Erlang file. We go on to do a
fully qualified function call in command line 2, where by prefixing the
module name to the function we are able to invoke it from outside the
module itself. The call in shell command 3 fails with a function clause
error because no clauses match for negative numbers. Before terminating
the shell with the shell command q(), we call a local
function, factorial(2), in shell command 4. It fails as it is
not fully qualified with a module name.
Recursion is not just for computing simple values; we can write
imperative programs using the same style. The following is a program to
print every element of a list, separated by tabs. As with the previous example, the
function is presented in two clauses,
where each clause has a head and a body, separated by the arrow
(->). In the head we see the function applied to a
pattern, and when a function is applied to an argument, the first clause
whose pattern matches the argument is used. In this example the [] matches an empty list, whereas [X|Xs] matches a nonempty list. The [X|Xs] syntax assigns the first element of the
list, or head, to X and the remainder of the list, or
tail, to Xs (if
you have not yet noted it, Erlang variables such as X,
Xs, and N all start with uppercase letters):
-module(ex2).-export([print_all/1]).print_all([])->io:format("~n");print_all([X|Xs])->io:format("~p\t",[X]),print_all(Xs).
The effect is to print each item from the
list, in the order that it appears in the list, with a tab (\t) after each item. Thanks to the base case,
which runs when the list is empty (when it matches []), a newline (~n) is printed at the end. Unlike in the
ex1:factorial/1 example shown earlier, the pattern of
recursion in this example is tail recursive. It is
used in Erlang programs to give looping behavior. A function is said to be tail recursive if
the only recursive calls to the function occur as the last expression to
be executed in the function clause. We can think of this final call as a
“jump” back to the start of the function, now called with a different
parameter. Tail-recursive functions allow last-call optimization,
ensuring stack frames are not added in each iteration. This allows
functions to execute in constant memory space and removes the risk of
a stack overflow, which in Erlang manifests itself through
the virtual machine running out of memory.
If you come from an imperative programming background, writing the
function slightly differently to use a case expression rather than separate clauses may make tail recursion easier
to understand:1
all_print(Ys)->caseYsof[]->io:format("~n");[X|Xs]->io:format("~p\t",[X]),all_print(Xs)end.
When you test either of these print functions, note the ok printed out after the newline. Every Erlang
function has to return a value. This value is whatever the last executed
expression returns. In our case, the last executed expression is io:format("~n"). The newline appears as a side
effect of the function, while the ok is
the return value printed by the shell:
1>c(ex2).{ok,ex2} 2>ex2:print_all([one,two,three]).one two three ok 3>Val = io:format("~n").ok 4>Val.ok
The arguments in our example play the role of mutable variables, whose values change between calls. Erlang variables are single assignment, so once you’ve bound a value to a variable, you can no longer change that variable. In a recursive function variables of the same name, including function arguments, are considered fresh in every function iteration. We can see the behavior of single assignment of variables here:
1>A = 3.3 2>A = 2+1.3 3>A = 3+1.** exception error: no match of right hand side value 4
In shell command 1, we successfully assign an unbound variable. In
shell command 2, we pattern match an assigned variable to its value.
Pattern matching fails in shell command 3, because the value on the
right-hand side differs from the current value of A.
Erlang also allows pattern matching over binary data, where we match on a bit level. This is an incredibly powerful and efficient construct for decoding frames and dealing with network protocol stacks. How about decoding an IPv4 packet in a few lines of code?
-define(IP_VERSION,4).-define(IP_MIN_HDR_LEN,5).handle(Dgram)->DgramSize=byte_size(Dgram),<<?IP_VERSION:4,HLen:4,SrvcType:8,TotLen:16,ID:16,...,Flgs:3,FragOff:13,TTL:8,Proto:8,HdrChkSum:16,...,SrcIP:32,DestIP:32,Body/binary>>=Dgram,if(HLen>=5)and(4*HLen=<DgramSize)->OptsLen=4*(HLen-?IP_MIN_HDR_LEN),<<Opts:OptsLen/binary,Data/binary>>=Body,...end.
We first determine the size (number of bytes) of Dgram,
a variable holding an IPv4 packet as binary data previously received from
a network socket. Next, we use pattern matching against Dgram
to extract its fields; the left-hand side of the pattern matching
assignment defines an Erlang binary, delimited by <<
and >> and containing a number of fields. The ellipses
(...) within the binary are not legal Erlang code; they indicate fields
we’ve left out to keep the example brief. The numbers following most of
the fields specify the number of bits (or bytes for binaries) each field
occupies. For example, Flgs:3 defaults to an integer that
matches 3 bits, the value of which it binds to the variable
Flgs. At the point of the pattern match we don’t yet know the
size of the final field, Body, so we specify it as a binary
of unknown length in bytes that we bind to the variable Data.
If the pattern match succeeds, it extracts, in just a single statement,
all the named fields from the Dgram packet. Finally, we check
the value of the extracted HLen field in an if
clause, and if it succeeds, we perform a pattern matching assignment
against Body to extract Opts as a binary of
OptsLen bytes and Data as a binary consisting of
all the rest of the data in Body. Note how
OptsLen is calculated dynamically. If you’ve ever written
code using an imperative language such as Java or C to extract fields from
a network packet, you can see how much easier pattern matching makes
the task.
Erlang was heavily influenced by other functional programming languages. One functional principle is to treat functions as first-class citizens; they can be assigned to variables, be part of complex data structures, be passed as function arguments, or be returned as the results of function calls. We refer to the functional data type as an anonymous function, or fun for short. Erlang also provides constructs that allow you to define lists by “generate and test,” using the analogue of comprehensions in set theory. Let’s first start with anonymous functions: functions that are not named and not defined in an Erlang module.
Functions that take funs as arguments are called higher-order
functions. An example of such a function is filter, where a predicate is represented by a
fun that returns true or false, applied to the elements of a list.
filter returns a list made up of those elements that have
the required property; namely, those for which the fun returns true. We often use the term “predicate” to
refer to a fun that, based on certain conditions defined in the
function, returns the atoms true or
false. Here is an example of how
filter/2 could be implemented:
-module(ex3).-export([filter/2,is_even/1]).filter(P,[])->[];filter(P,[X|Xs])->caseP(X)oftrue->[X|filter(P,Xs)];_->filter(P,Xs)end.is_even(X)->Xrem2==0.
To use filter, you need to pass it a function and a
list. One way to pass the function is to use a fun expression, which is a way of defining an
anonymous function. In shell command 2, shown next, you can see an
example of an anonymous function that tests for its argument being an
even number:
2>ex3:filter(fun(X) -> X rem 2 == 0 end, [1,2,3,4]).[2,4] 3>ex3:filter(fun ex3:is_even/1,[1,2,3,4]).[2,4]
A fun does not have to be anonymous, and could
instead refer to a local or global function definition. In shell command
3, we described the function by fun
ex3:is_even/1; i.e., by giving its module, name, and arity.
Anonymous functions can also be spawned as the body of a process and
passed in messages between processes; we look at processes in general
after the next topic.
If you’re using Erlang/OTP 17.0 or newer, there’s another way a
fun does not have to be anonymous: it can be given a name. This feature
is especially handy in the shell as it allows for easy definition of
recursive anonymous functions. For example, we can implement the
equivalent of ex3:filter/2 in the
shell like this:
4>F = fun Filter(_,[]) -> [];4>Filter(P,[X|Xs]) -> case P(X) of true -> [X|Filter(P,Xs)];4>false -> Filter(P,Xs) end end.#Fun<erl_eval.36.90072148> 5>Filter(fun(X) -> X rem 2 == 0 end,[1,2,3,4]).* 1: variable 'Filter' is unbound 6>F(fun(X) -> X rem 2 == 0 end,[1,2,3,4]).[2,4]
We name our recursive function Filter by putting that
name just after the fun keyword. Note that the name has to
appear in both function clauses: the one on the first line, which
handles the empty list case, and the one defined on the next two lines,
which handles the case when the list isn’t empty. You can see two places
in the body of the second clause where we recursively call
Filter to handle remaining elements in the list. But even
though the function has the name Filter, we still assign it
to shell variable F because the name Filter is
local to the function itself, and thus can’t be used outside the body to
invoke it, as our attempt to call it on line 5 shows. On line 6, we
invoke the named fun via F and it works as expected. And
because shell variables and function names are in different scopes, we
could have used the shell variable name Filter rather than
F, thus naming the function the same way in both scopes.
Many of the examples we have looked at so far deal with the manipulation of lists. We’ve used recursive functions on them, as well as higher-order functions. Another approach is to use list comprehensions, expressions that generate elements and apply tests (or filters) to them. The format is like this:
[Expression||Generators,Tests,Generators,Tests]
where each Generator has the
format
X<-[2,3,5,7,11]
The effect of this is to successively bind the variable X to the values 2,
3, 5, 7, and 11. In
other words, it generates the elements from the
list: the symbol <- is meant to
suggest the “element of” symbol for sets, ∈. In this example, X is called a bound
variable. We’ve shown only one bound variable here, but a
list comprehension can be built from multiple bound variables and
generators; we show some examples later in this section.
The Tests are Boolean expressions,
which are evaluated for each combination of values of the bound
variables. If all the Tests in a group return
true, then the Expression is generated from the
current values of the bound variables. The use of
Tests in a list comprehension is optional.
The list comprehension construct as a whole generates a list of results,
one for each combination of values of the bound variables that passes
all the tests.
As a first example, we could rewrite the function filter/2 as a list comprehension:
filter(P,Xs)->[X||X<-Xs,P(X)].
In this list comprehension, the first X is the
expression, X<-Xs is the generator, and
P(X) is the test. Each value from the generator is tested
with the test, and the expression comprises only those values for which
the test returns true. Values for which the test returns
false are simply dropped. We can use list comprehensions
directly in our programs, as in the previous filter/2
example, or in the Erlang shell:
1>[Element || Element <- [1,2,3,4], Element rem 2 == 0].[2,4] 2>[Element || Element <- [1,2,3,4], ex3:is_even(Element)].[2,4] 3>[Element || Element <- lists:seq(1,4), Element rem 2 == 0].[2,4] 4>[io:format("~p~n",[Element]) || Element <- [one, two, three]].one two three [ok,ok,ok]
Note how, in shell command 4, we are using list comprehensions to
create side effects. The expression still returns a list [ok,ok,ok] containing the return values of
executing the io:format/2 expression on the
elements.
The next set of examples show the effect of multiple generators
and interleaved generators and tests. In the first, for each value of
X, the values bound to Y run through 3, 4,
and 5. In the second example, the values of Y depend on the value chosen for X (showing that the expression evaluates
X before Y). The remaining two examples apply tests to
both of the bound variables:
5>[ {X,Y} || X <- [1,2], Y <- [3,4,5] ].[{1,3},{1,4},{1,5},{2,3},{2,4},{2,5}] 6>[ {X,Y} || X <- [1,2], Y <- [X+3,X+4,X+5] ].[{1,4},{1,5},{1,6},{2,5},{2,6},{2,7}] 7>[ {X,Y} || X <- [1,2,3], X rem 2 /= 0, Y <- [X+3,X+4,X+5], (X+Y) rem 2 == 0 ].[{1,5},{3,7}] 8>[ {X,Y} || X <-[1,2,3], X rem 2 /= 0, Y <- [X+3,X+4,X+5], (X+Y) rem 2 /= 0 ].[{1,4},{1,6},{3,6},{3,8}]
We’ll leave you with one of our favorite list comprehensions,
which we contemplated leaving as an exercise.2 Given an 8 × 8 chessboard, how many ways can you place N queens on it so that they do not threaten
each other? In our example, queens(N)
returns choices of positions of queens in the bottom N rows of the chessboard, so that each of
these is a list of column numbers (in the given rows) where the queens
lie. To find out the number of different possible placements, we just
count the permutations. Note the -- list difference operator. It
complements ++, which appends lists together. We also use
andalso instead of and, as it short-circuits
the operation if an expression evaluates to false:
-module(queens).-export([queens/1]).queens(0)->[[]];queens(N)->[[Row|Columns]||Columns<-queens(N-1),Row<-[1,2,3,4,5,6,7,8]--Columns,% -- returns the list differencesafe(Row,Columns,1)].safe(_Row,[],_N)->true;safe(Row,[Column|Columns],N)->(Row/=Column+N)andalso(Row/=Column-N)andalsosafe(Row,Columns,(N+1)).
Concurrency is at the heart of the Erlang programming model. Processes are lightweight, meaning that creating them involves negligible time and memory overhead. Processes do not share memory, and instead communicate with each other through message passing. Messages are copied from the stack of the sending process to the heap of the receiving one. As processes execute concurrently in separate memory spaces, these memory spaces can be garbage collected separately, giving Erlang programs very predictable soft real-time properties, even under sustained heavy loads. Millions of processes can run concurrently within the same VM, each handling a standalone task. Processes fail when exceptions occur, but because there is no shared memory, failure can often be isolated as the processes were working on standalone tasks. This allows other processes working on unrelated or unaffected tasks to continue executing and the program as a whole to recover on its own.
So, how does it all work? Processes are created via the spawn(Mod, Func,
Args) BIF or one of its variants. The result of a
spawn call is a process identifier, normally referred to as a pid. Pids are used for sending messages, and can themselves be part of
the message, allowing other processes to communicate back. As we see in
Figure 2-1, the process starts executing in the function
Func, defined in the module Mod with arguments
passed to the Args list.

The following example of an “echo” process shows these basics. The
first action of the go/0 function is to
spawn a process executing loop/0, after
which it communicates with that process by sending and receiving messages.
The loop/0 function receives messages
and, depending on their format, either replies to them (and loops) or
terminates. To get this looping behavior, the function is tail recursive,
ensuring it executes in constant memory space.
We know the pid of the process executing loop/0 from
the spawn, but when we send it a message, how can it communicate back to
us? We’ll have to send it our pid, which we find using the self() BIF:
-module(echo).-export([go/0,loop/0]).go()->Pid=spawn(echo,loop,[]),Pid!{self(),hello},receive{Pid,Msg}->io:format("~w~n",[Msg])end,Pid!stop.loop()->receive{From,Msg}->From!{self(),Msg},loop();stop->okend.
In this echo example, the go/0 function
first spawns a new process executing the echo:loop/0
function, storing the resulting pid in the variable Pid. It
then sends to the Pid process a message containing the pid of
the sender, retrieved using the self() BIF, along with the
atom hello. After that, go/0 waits to receive a
message in the form of a pair whose first element matches the pid of the
loop process; when such a message arrives, go/0 prints out
the second element of the message, exits the receive
expression, and finishes by sending the message stop to
Pid.
The echo:loop/0 function first waits for a message. If it receives a pair containing
a pid From and a message, it sends a message containing its
own pid along with the received Msg back to the
From process and then calls itself recursively. If it instead
receives the atom stop, loop/0 returns
ok. When loop/0 stops, the process that
go/0 originally spawned to run loop/0 terminates
as well, as there is no more code to execute.
Note how, when we run this program, the go/0 call returns stop. Every function returns a value, that of
the last expression it evaluated. Here, the last expression is Pid !
go, which returns the message we just sent to
Pid:
1>c(echo).{ok,echo} 2>echo:go().hello stop
Pattern matching is different in Erlang than in other languages with pattern
matching because variables occurring in patterns can be already bound. In the go function in the echo example, the variable Pid is already bound to the pid of the process
just spawned, so the receive expression will accept only
those messages in which the first component is that particular pid; in
the scenario here, it will be a message from that pid, in fact.
If a message is received with a different first component, then
the pattern match in the receive will
not be successful, and the receive
will block until a message is received from process Pid.
Erlang message passing is asynchronous: the expression that
sends a message to a process returns immediately and always appears to be
successful, even when the receiving process doesn’t exist. If the process
exists, the messages are placed in the mailbox of
the receiving process in the same order in which they are received. They
are processed using the receive
expression, which pattern matches on the messages in sequential order.
Message reception is selective, meaning that messages are not necessarily
processed in the order in which they arrive, but rather the order in which
they are matched. Each receive clause selects the message it
wants to read from the mailbox using pattern matching.
Suppose that the mailbox for the loop process has received the
messages foo, stop, and {Pid,
hello} in that order. The receive expression will try to match the first
message (here, foo) against each of the
patterns in turn; this fails, leaving the message in the mailbox. It then
tries to do the same with the second message, stop; this doesn’t match the first pattern but
does match the second, with the result that the process terminates, as
there is no more code to execute.
These semantics mean that we can process messages in whatever order we choose, irrespective of when they arrive. Code like this:
receivemessage1->...endreceivemessage2->...end
will process the atoms message1 and then message2. Without this feature, we’d have to
anticipate all the different orders in which messages can arrive, and
handle each of those, greatly increasing the complexity of our programs.
With selective receive, all we do is leave them in the mailbox for later
retrieval.
In “Recursion and Pattern Matching” we saw the factorial example, and how passing a negative number to the function causes it to raise an
exception. This also happens when factorial is applied to
something that isn’t a number, in this case the atom zero:
1> ex1:factorial(zero).
** exception error: bad argument in an arithmetic expression
in function ex1:factorial/1The alternative to this would be to program defensively, and explicitly identify the case of negative numbers, as well as arguments of any other type, by means of a catch-all clause:
factorial(0)->1;factorial(N)whenN>0,is_integer(N)->N*factorial(N-1);factorial(_)->{error,bad_argument}.
The effect of this is would be to
require every caller of the function to deal not only with proper results
(like 120 = factorial(5)) but also
improper ones of the format {error,bad_argument}. If we do this, clients of
any function need to understand its failure modes and provide ways of
dealing with them, mixing correct computation and error-handling code. How
do you handle errors or corrupt data when you do not know what these
errors are or how the data got corrupted?
The Erlang design philosophy says “let it fail!” so that a function,
process, or other running entity deals only with the correct case and
leaves it to other parts of the system (specifically designed to do this)
to deal with failure. One way of dealing with failure in sequential code
is to use the mechanism for exception handling given by the try-catch construct.
Using the definition:
factorial(0)->1;factorial(N)whenN>0,is_integer(N)->N*factorial(N-1).
we can see the construct in action:
2>ex1:factorial(zero).** exception error: no function clause matching ex1:factorial(zero) 3>try ex1:factorial(zero) catch Type:Error -> {Type, Error} end.{error,function_clause} 4>try ex1:factorial(-2) catch Type:Error -> {Type, Error} end.{error,function_clause} 5>try ex1:factorial(-2) catch error:Error2 -> {error, Error2} end.{error,function_clause} 6>try ex1:factorial(-2) catch error:Error3 -> {error, Error3};6>exit:Reason -> {exit, Reason} end.{error,function_clause}
The try-catch construct gives the
user the opportunity to match on the different kinds of exceptions in the
clauses, handling them individually. In this example, we match on
an error exception caused
by a pattern match failure. There are also exit and throw exceptions, the first being the result of
a process calling the exit BIF and the latter the result of a
user-generated exception using the throw expression.
A typical Erlang system has lots of (possibly dependent) processes running at the
same time. How do these dependencies work with the “let it fail”
philosophy? Suppose process A interacts
with processes B and C (Figure 2-2); these
processes are dependent on each other, so if A fails, they
can no longer function properly. A’s
failure needs to be detected, after which B and C need
to be terminated before restarting them all. In this section we describe
the mechanisms that support this approach, namely process linking, exit
signals, and monitoring.
These simple constructs enable us to build libraries with complex
supervision strategies, allowing us to manage processes that may be
subjected to failure at any time.

Calling link(Pid) in a
process A creates a
bidirectional link between processes A and
Pid. Calling spawn_link/3 has the same effect as calling spawn/3 followed by link/1, except that it is executed atomically,
eliminating the race condition where a process terminates between the
spawn and the link. A link from the calling process to Pid is removed by calling unlink(Pid).
The key insight here is that the mechanism needs to be orthogonal
to Erlang message passing, but effectuated with it. If two Erlang
processes are linked, when either of them terminates, an exit signal is sent to the
other, which will then itself terminate. The terminated process will in
turn send the exit signal to all the processes in its linked set,
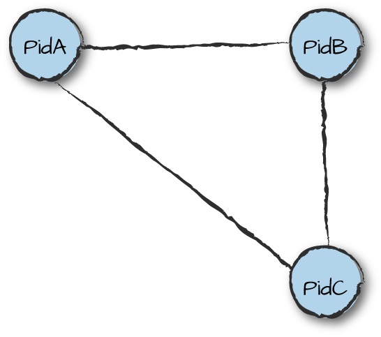
propagating it through the system. This can be seen in Figure 2-3, where PidC terminates from
whichever exit signal from PidA or PidB gets
there first. The power of the mechanism comes from the ways that this
default behavior can be modified, giving the designer fine control over
the termination of the processes within a system. We now look at this in
more detail.

One pattern for using links is as follows: a server that controls access to resources links to a client while that client has access to a particular resource. If the client terminates, the server will be informed so it can reallocate the resource (or just terminate). If, on the other hand, the client hands back the resource, the server may unlink from the client.
Remember, though, that links are bidirectional, so if the server dies for some reason while client and server are linked, this will by default kill the client too, which you may not want to happen. If that’s the case, use a monitor instead of a link, as we explain in “Monitors”.
Exit signals can be trapped by calling
the process_flag(trap_exit,
true) function. This converts exit signals into messages of
the form {'EXIT', Pid, Reason}, where Pid is the process identifier of the process
that has died and Reason is the
reason it has terminated. These messages are stored in the recipient’s
mailbox and processed in the same way as all other messages. When a
process is trapping exits, the exit signal is not propagated to any of the processes in its
link set.
Why does a process exit? This can happen for two reasons. If a
process has no more code to execute, it terminates normally. The Reason propagated
will be the atom normal. Abnormal termination is initiated in case of a runtime error, receiving an exit signal when not
trapping exits, or by calling the exit BIFs. Called with a
single argument, exit(Reason) will terminate the
calling process with reason Reason,
which will be propagated in the exit signal to any other processes to
which the exiting one is linked. When the exit BIF is
called with two arguments, exit(Pid, Reason), it sends an
exit signal with reason Reason to the
process Pid. This will have the same
effect as if the calling process had terminated with reason Reason.
As we said at the start of this section, users can control the way
in which termination is propagated through a system. The options are
summarized in Table 2-1 and vary depending on
if the trap_exit process flag is set.
| Reason | Trapping exits | Not trapping exits |
|---|---|---|
normal | Receives {'EXIT', Pid, normal} | Nothing happens |
kill | Terminates with reason killed | Terminates with reason killed |
Other | Receives {'EXIT', Pid, Other} | Terminates with reason Other |
As the second column of the table shows, a process that is
trapping exits will receive an 'EXIT'
message when a linked process terminates, whether the termination is
normal or abnormal. The kill reason
allows one process to force another to exit along with it. This means
that there’s a mechanism for killing any process, even those that trap
exits; note that its reason for termination is killed and not kill, ensuring that the unconditional
termination does not itself propagate. If a process is not trapping
exits, nothing happens if a process in its link set terminates normally.
Abnormal termination, however, results in the process terminating.
Monitors provide an alternative, unidirectional mechanism for processes to observe the termination of other processes. Monitors differ from links in the following ways:
A monitor is set up when process A calls erlang:monitor(process, B), where the atom
process indicates we’re
monitoring a process and B is
specified by a pid or registered name. This causes A to monitor B.
Monitors have an identity given by an Erlang
reference, which is a unique value returned
by the call to erlang:monitor/2.
Multiple monitors of B by
A can be set up, each identified
by a different reference.
A monitor is unidirectional
rather than bidirectional: if process A monitors process B, this does not mean that B monitors A.
When a monitored process terminates, a message of the form
{'DOWN', Reference, process, Pid, Reason} is sent to
the monitoring process. This contains not only the Pid and Reason for the termination, but also the
Reference of the monitor and the
atom process, which tells us we
were monitoring a process.
A monitor is removed by the call erlang:demonitor(Reference). Passing a
second argument to the function in the format
erlang:demonitor(Reference, [flush]) ensures that any
{'DOWN', Reference, process, Pid, Reason} messages from
the Reference will be flushed
from the mailbox of the monitoring process.
Attempting to monitor a nonexistent process results in a
{'DOWN', Reference, process, Pid, Reason} message with
reason noproc; this contrasts
with an attempt to link to a nonexistent process, which terminates
the linking process.
If a monitored process terminates, processes that are monitoring it and not trapping exits will not terminate.
References in Erlang are
used to guarantee the identity of messages, monitors, and other
data types or requests. A reference can be generated indirectly by
setting up a monitor, but also directly by calling the BIF
make_ref/0. References
are, for all intents and purposes, unique across a
multinode Erlang system. References can be compared for equality
and used within patterns, so that it’s possible to ensure that a
message comes from a particular process, or is a reply to a
particular message within a communication protocol.
Taking monitor/2 and exit/2 for a trial
run, we get the following self-explanatory results:
1>Pid = spawn(echo, loop, []).<0.34.0> 2>erlang:monitor(process, Pid).#Ref<0.0.0.34> 3>exit(Pid, kill).true 4>flush().Shell got {'DOWN',#Ref<0.0.0.34>,process,<0.34.0>,killed} ok
Erlang tuples provide a way of grouping related items, and unlike lists
they provide convenient access to elements at arbitrary indexes via the
element/2 BIF. In practice, though, they are most useful and
manageable for groups of no more than about five or six items. Tuples
larger than that can cause maintenance headaches by forcing you to keep
track throughout your code of what field is in which position in the
tuple, and using plain numbers to address fields through element/2 is error-prone. Pattern
matching large tuples can be tedious due to having to ensure the correct
number and placement of variables within the tuple. Worst of all, though,
is that if you have to add or remove a field in a tuple, you have to find
all the places your code uses it and make sure to change each occurrence
to the correct new size.
Records address the shortcomings of tuples by providing a way to
access fields of a tuple-like collection by name. Here’s an example of a
record used with the Erlang/OTP inet module, which provides
access to TCP/IP information:
-record(hostent,{h_name% offical name of hosth_aliases=[]% alias listh_addrtype% host address typeh_length% length of addressh_addr_list=[]% list of addresses from name server}).
The -record directive is used to define a record, with the record name specified
as the directive’s first argument. The second argument, which resembles a
tuple of atoms, defines the fields of the record. Fields can have specific
default values, as shown here for the h_aliases and
h_addr_list fields, both of which have the empty list as
their defaults. Fields without specified defaults have the atom
undefined as their default values.
Records can be used in assignments, in pattern matching, and as
function arguments, similarly to tuples. But unlike tuples, record fields
are accessed by name, and any fields not pertinent to a particular part of
the code can be left out. For example, the type/1 function in
this module requires access only to the h_addrtype field of a
hostent record:
-module(addr).-export([type/1]).-include_lib("kernel/include/inet.hrl").type(Addr)->{ok,HostEnt}=inet:gethostbyaddr(Addr),HostEnt#hostent.h_addrtype.
First, note that to be able to use a record, we must have access to
its definition. The -include_lib(...) directive here includes
the inet.hrl file from the kernel application, where the
hostent record is defined. In the final line of this example,
we access the HostEnt variable as a hostent
record by supplying the record name after the # symbol. After
the record name, we access the required record field by name,
h_addrtype. This reads the value stored in that field and
returns it as the return value of the type/1
function:
1>c(addr).{ok,addr} 2>addr:type("127.0.0.1").inet 3>addr:type("::1").inet6
Another way to implement the type() function would be
to pattern match the h_addrtype field against the return
value of the inet:gethostbyaddr/1
function:
type(Addr)->{ok,#hostent{h_addrtype=AddrType}}=inet:gethostbyaddr(Addr),AddrType.
Here, the AddrType variable within the pattern match
captures the value of the h_addrtype field as part of the
match. This form of pattern matching is quite common with records, and is
especially useful within function heads to extract fields of interest into
local variables. As you can see, this approach is also cleaner than the
field access syntax used in the previous example.
To create a record instance, you set the fields as required:
hostent(Host,inet)->#hostent{h_name=Host,h_addrtype=inet,h_length=4,h_addr_list=inet:getaddrs(Host,inet)}.
In this example, the hostent/2 function returns a
hostent record instance with specific fields set. Any fields
not explicitly set in the code retain their default values specified in
the record definition.
Records are just syntactic sugar; under the covers, they are
implemented as tuples. We can see this by calling the
inet:gethostbyname/1 function in the Erlang shell:
1>inet:gethostbyname("oreilly.com").{ok,{hostent,"oreilly.com",[],inet,4, [{208,201,239,101},{208,201,239,100}]}} 2>rr(inet).[connect_opts,hostent,listen_opts,...] 3>inet:gethostbyname("oreilly.com").{ok,#hostent{h_name = "oreilly.com",h_aliases = [], h_addrtype = inet,h_length = 4, h_addr_list = [{208,201,239,101},{208,201,239,100}]}}
In shell command 1, we call gethostbyname/1 to retrieve
address information for the host oreilly.com. The second element of the result
tuple is a hostent record, but the shell displays it as a
plain tuple where the first element is the record name and the rest of the
elements are the fields of the record in declaration order. Note that the
names of the record fields are not part of the actual record instance. To
have the record instance be displayed as a record instead of a tuple, we
need to inform the shell of the record definition. We do that in shell
command 2 using the rr shell command, which reads record
definitions from its argument and returns a list of the definitions read
(we abbreviated the returned list in this example by replacing most of it
with an ellipsis). The argument passed to the rr command can
either be a module name, the name of a source or include file, or a
wildcarded name as specified for the filelib:wildcard/1,2 functions. In
shell command 3, we again fetch address information for oreilly.com, but this time the shell prints the
returned hostent value in record format, with field names
included.
You need to be extremely careful in dealing with all versions of records once you’ve changed their definition. You might forget to compile a module using the record (or compile it with the wrong version), load the wrong specification in the shell, or send it to a process running code that has not been upgraded. Doing so will in the best case throw an exception when trying to access or manipulate a field that does not exist, and in the worse case silently assign or return the value of a different field.
A map in Erlang is a key-value collection type that resembles the dictionary and hash types found in other programming languages. Maps differ from records in several ways: map is a built-in type, the number of its fields or key-value pairs is not fixed at compile time, and its keys can be any Erlang term rather than just atoms. While some have touted maps as a replacement for records, in practice they each fulfill different needs and both are useful. Records are fast, so use them when you have a fixed number of fields known at compile time, while maps should be used when you have a need to add fields at runtime.
Creating and manipulating a map is straightforward, as shown here:
1>EmptyMap = #{}.#{} 2>erlang:map_size(EmptyMap).0 3>RelDates = #{ "R15B03-1" => {2012, 11, 28}, "R16B03" => {2013, 12, 11} }.#{"R15B03-1" => {2012,11,28},"R16B03" => {2013,12,11}} 4>RelDates2 = RelDates#{ "17.0" => {2014, 4, 2}}.#{"17.0" => {2014,4,2}, "R15B03-1" => {2012,11,28}, "R16B03" => {2013,12,11}} 5>RelDates3 = RelDates2#{"17.0" := {2014, 4, 9}}.#{"17.0" => {2014,4,9}, "R15B03-1" => {2012,11,28}, "R16B03" => {2013,12,11}} 6>#{ "R15B03-1" := Date } = RelDates3.#{"17.0" => {2014,4,2}, "R15B03-1" => {2012,11,28}, "R16B03" => {2013,12,11}} 7>Date.{2012,11,28}
In shell command 1, we bind the empty map #{} to the
variable EmptyMap, and then we check its size in shell
command 2 using the erlang:map_size/1 function. As expected, its size is 0 since it contains no
key-value pairs. In shell command 3, we create a map with multiple
entries, where each key is the name of an Erlang/OTP release paired with a
value denoting its release date, using the => map
association operator. Shell command 4 takes the existing
RelDates map and adds a new key-value pair to create a new map,
RelDates2. Unfortunately, the date we set in shell command 4
is off by one week and we need to change it; shell command 5 shows how we
use the := map set-value operator to update the release date.
Unlike the => operator, the := operator
ensures that the key being updated already exists in the map, thereby
preventing errors where the developer misspells the key and accidentally
creates a new key-value pair instead of updating an existing key. Finally,
shell command 6 shows how using a map in a pattern match allows us to
capture the release date associated with the key "R15B03-1"
into the variable Date, the value of which is accessed in
shell command 7. Note that using the := set-value operator is required for
map pattern matching.
Erlang has a macro facility, implemented by the Erlang preprocessor (epp), which is invoked prior to compilation of source code into BEAM code. Macros can be constants, as in:
-define(ANSWER,42).-define(DOUBLE,2*).
or take parameters, as in:
-define(TWICE(F,X),F(F(X))).
As you can see from the definition of DOUBLE, it is conventional (but only
conventional) to use uppercase names. The definition can be any legal
sequence of Erlang tokens; it doesn’t have to be a meaningful expression
in its own right.
Macros are invoked by preceding them with a ? character, as
in:
test()->?TWICE(?DOUBLE,?ANSWER)
It is possible to see the effect of macro definitions by compiling
with the 'P' flag in the shell:
c(<filename>,['P']),
which creates a filename.P file in which the previous definition of
test/0 becomes:
test()->2*(2*42).
It is also possible for a macro call to record the text of its parameters. For example, if we define:
-define(Assign(Var,Exp),Var=Exp,io:format("~s=~s->~p~n",[??Var,??Exp,Var])).
then ?Assign(Var,Exp) has the
effect of performing the assignment Var =
Exp, but also, as a side effect, prints out a diagnostic
message. For example:
test_assign()->?Assign(X,lists:sum([1,2,3])).
behaves like this:
1> macros:test_assign().
X = lists : sum ( [ 1 , 2 , 3 ] ) -> 6
okUsing flags, you can define conditional macros, such as:
-ifdef(debug).-define(Assign(Var,Exp),Var=Exp,io:format("~s=~s->~p~n",[??Var,??Exp,Var])).-else.-define(Assign(Var,Exp),Var=Exp).-endif.
Now, if you use the compiler flags {d,debug} to set the debug flag, ?Assign(Var,Exp) will perform the assignment and
print out the diagnostic code. Conversely, leaving the debug flag unset by default or clearing it
through {u,debug} will cause the
program to do the assignment without executing the io expression.
One of the advantages of dynamic typing is the ability to upgrade your code during runtime, without the need to take down the system. One second, you are running a buggy version of a module, but you can load a fix without terminating the process and it starts running the fixed version, retaining its state and variables (Figure 2-4). This works not only for bugs, but also for upgrades and new features. This is a crucial property for a system that needs to guarantee “five-nines availability”—i.e., 99.999% uptime including upgrades and maintenance.

At any one time, two versions of a module may exist in the virtual
machine: the old and current versions. Frame 1 in Figure 2-4 shows PidA executing in the current version of module
B. In Frame 2, new code for the module
B is loaded, either by compiling the
module in the shell or by explicitly loading it. After you load the
module, PidA is still linked to the same
version of B, which has now become the
old version. But the next time PidA makes
a fully qualified call to a function in module B, a check will be made to ensure that PidA is running the latest version of the code. (If
you recall from earlier in this chapter, a fully qualified call is one
where the module name is prefixed to the function name.) If the process is
not running the latest version, the pointer to the code will be switched
to the new current version, as shown in Frame 3. This applies to all functions in B, not just the function whose call triggered
the switch. While this is the essence of a software upgrade, let’s go
through the fine print to make sure you understand all the details:
Suppose that the code for the loop of a running process is
itself upgraded. The effect depends on the form of the function
call. If the function call is fully
qualified—i.e., of the form B:loop()—the next call will use the
upgraded code; otherwise (when the call is simply loop()), the process will continue to run
the old code.
The system holds only two versions of the code, so suppose
that process p is still executing
v(1) of module B, and another two new versions v(2) and v(3) are loaded: since only two versions
may be present, the earliest version v(1) will be purged, and any process (such as p) looping in that version of the module
will be unconditionally terminated.
New code can be loaded in a number of ways. Compiling the
module will cause code to be reloaded; this can be initiated in the
shell by c(Module) or by calling
the Erlang function compile:file(Module). Code can also be loaded explicitly in the shell by
l(Module) or by a call to code:load_file(Module). In general, code
is loaded by calling a function in a module that is not already
loaded. This causes the compiled code, a .beam file, to be loaded, and for that to
happen the code has to have been already compiled, perhaps using the
erlc command-line tool. Note that recompiling a
module with erlc does not cause it to be
reloaded.
While old code is purged when a new version is loaded, it is
possible to call code:purge(Module) explicitly to purge an old version (without loading a new
version). This has the effect of terminating all processes running
the old code before removing the code. The call returns true if any processes were indeed
terminated, and false if none
were. Calling code:soft_purge(Module) will remove the code only if no processes were running it:
the result is true in
that case and false
otherwise.
While lists are an important data type, they need to be linearly traversed and, as a result, will not scale. If you need a key-value store where the lookup time is constant, or the ability to traverse your keys in lexicographical order, Erlang Term Storage (ETS) tables come in handy. An ETS table is a collection of Erlang tuples, keyed on a particular position in the tuple.
ETS tables come in four different kinds:
Each key-value tuple can occur only once.
Each key-value tuple combination can only occur once, but a key can appear multiple times.
Tuples can be duplicated.
These have the same restriction as sets, but the tuples can be visited in order by key.
Access time to a particular element is in constant time, except for ordered sets, where access time is proportional to the logarithm of the size of the table (O(log n) time).
Depending on the options passed in at table creation (ets:new),
tables have one of the following traits:
publicAccessible to all processes.
privateAccessible to the owning process only.
protectedAll processes can read the table, but only the owner can write to it.
Tables can also have their key position specified at
creation time ({keypos,N}). This is
mainly useful when storing records, as it allows the developer to specify
a particular field of the record as the key. The default key position is
1.
Normally, programs access tables through the table ID returned by
the call to new, but tables can also be
named when created, which makes them accessible by
name.
A table is linked to the process that creates it, and is deleted when that process terminates. ETS tables are in-memory only, but long-lived tables are provided by DETS tables, which are stored on disk (hence the “D”).
Elementary table operations are shown in the following interaction:
1>TabId = ets:new(tab,[named_table]).tab 2>ets:insert(tab,{haskell, lazy}).true 3>ets:lookup(tab,haskell).[{haskell,lazy}] 4>ets:insert(tab,{haskell, ghci}).true 5>ets:lookup(tab,haskell).[{haskell,ghci}] 6>ets:lookup(tab,racket).[]
As can be seen, the default ETS table is a set, so that the insertion at line 4 overwrites the insertion at line 2, and the table is keyed at the first position. Note also that looking up a key returns a list of all the tuples matching the key.
Tables can be traversed, as seen here:
7>ets:insert(tab,{racket,strict}).true 8>ets:insert(tab,{ocaml,strict}).true 9>ets:first(tab).racket 10>ets:next(tab,racket).haskell
Since tab is a set ETS, the
elements are not ordered by key; instead, their ordering is determined by
a hash value internal to the table implementation. In the example here,
the first key is racket and the next is
haskell. However, using first and next on an ordered set will give traversal in
order by key. It is also possible to extract bulk information using
the match
function:
11>ets:match(tab,{'$1','$0'}).[[strict,ocaml],[ghci,haskell],[strict,racket]] 12>ets:match(tab,{'$1','_'}).[[ocaml],[haskell],[racket]] 13>ets:match(tab,{'$1',strict}).[[ocaml],[racket]]
The second argument, which is a symbolic
tuple, is matched against the tuples in the ETS table. The
result is a list of lists, with each list giving the values matched to the
named variables '$0' etc., in ascending
order; these variables match any value in the tuple. The wildcard value
'_' also matches any value, but its
argument is not reported in the result.
Let’s implement code that uses an ETS table to associate phone
numbers—or more accurately, mobile subscriber integrated services digital
network (MSISDN) numbers—to pids in a module called hlr. We create the associations when phones
attach themselves to the network and delete them when they detach. We then
allow users to look up the pid associated with a particular phone number
as well as the number associated with a pid. Read through this code, as we
use it as part of a larger example in later chapters:
-module(hlr).-export([new/0,attach/1,detach/0,lookup_id/1,lookup_ms/1]).new()->ets:new(msisdn2pid,[public,named_table]),ets:new(pid2msisdn,[public,named_table]),ok.attach(Ms)->ets:insert(msisdn2pid,{Ms,self()}),ets:insert(pid2msisdn,{self(),Ms}).detach()->caseets:lookup(pid2msisdn,self())of[{Pid,Ms}]->ets:delete(pid2msisdn,Pid),ets:delete(msisdn2pid,Ms);[]->okend.lookup_id(Ms)->caseets:lookup(msisdn2pid,Ms)of[]->{error,invalid};[{Ms,Pid}]->{ok,Pid}end.lookup_ms(Pid)->caseets:lookup(pid2msisdn,Pid)of[]->{error,invalid};[{Pid,Ms}]->{ok,Ms}end.
In our test run of the module, the shell process attaches itself to the network using the number 12345. We look up the mobile handset using both the number and the pid, after which we detach. When reading the code, note that we are using a named public table, meaning any process can read and write to it as long as they know the table name:
2>hlr:new().ok 3>hlr:attach(12345).true 4>hlr:lookup_ms(self()).{ok,12345} 5>hlr:lookup_id(12345).{ok,<0.32.0>} 6>hlr:detach().true 7>hlr:lookup_id(12345).{error,invalid}
All of the examples we have looked at so far execute on a single virtual machine, also referred to as a node. Erlang has built-in semantics allowing programs to run across multiple nodes: processes can transparently spawn processes on other nodes and communicate with them using message passing. Distributed nodes can reside either on the same physical or virtual host or on different ones.
This programming model is designed to support scaling and fault tolerance on systems running behind firewalls over trusted networks. Out of the box, Erlang distribution is not designed to support systems operating across potentially hostile environments such as the Internet or shared cloud instances. Because different systems have different requirements on security, no one size fits all. Varying security requirements can easily (or not so easily) be addressed if you provide your own security layers and authentication mechanisms, or by modifying Erlang’s networking and security libraries.
In order for an Erlang node to be part of a distributed Erlang system, it
needs to be given a name. A short name is given
by starting Erlang with erl -sname
node, identifying the node on a local
network using the hostname. On the other hand, starting a node with the
-name flag means that it will be given a long
name and identified by the fully qualified domain name or IP
address. In a particular distributed system, all nodes must be of the
same kind, i.e., all short or all long.
Processes on distributed nodes are identified in precisely the
same way as local nodes, using their pids. This allows constructs such
as Pid!Msg to send messages to a process running on any
node in the cluster. On the other hand, registering a process with an
alias is local to each host, so {bar,'foo@myhost'}!Msg is
used to send the message Msg to the
process named bar on the node
'foo@myhost'. Note the form of this
node identifier: it is a combination
of foo (the name of the node) and
myhost (the short or local network
name of the host on which the node foo is running).
You can spawn and link to processes on any node in the system, not
just locally, using link(Pid), spawn(Node, Mod, Fun,
Args), and spawn_link. If the call is successful, link will return the atom
true, while spawn
returns the pid of the process on the remote host.
Code is not automatically deployed remotely for you! If you spawn a process remotely, it is your responsibility to ensure that the compiled code for the spawned process is already available on the remote host, and that it is placed in the search path for the node on that host.
In this chapter, we’ve given an overview of the basics of Erlang we believe are important for understanding the examples in the remainder of the book. The concurrency model, error-handling semantics, and distributed processing not only make Erlang a powerful tool, but are the foundation of OTP’s design. Module upgrades during runtime is just the icing on the cake. Before you progress, be warned that the better you understand the internals of Erlang, the more you are going to get out of the OTP design principles and this book. We provide many more examples written in pure Erlang, which for some might be enough to understand the OTP rationale. Try moving ahead, but if you find yourself struggling, we suggest reading Erlang Programming, published by O’Reilly and coauthored by one of the authors of this book. The current book can be seen as a continuation of Erlang Programming, expanding many of the original examples from that book. Other great titles that will also do the trick include Simon St. Laurent’s Introducing Erlang, also published by O’Reilly; Fred Hébert’s Learn You Some Erlang for Great Good! from No Starch Press (and also available online free of charge); and Programming Erlang, written by Erlang coinventor Joe Armstrong and published by The Pragmatic Bookshelf.
In the upcoming chapters, we introduce process design patterns and OTP behaviors. We start by providing an Erlang example of a client-server application, breaking it up into generic and specific parts. The generic parts are those that can be reused from one client-server application to another and are packaged in library modules. The specific parts are those that are project-specific and have to be implemented for the individual client-server applications. In Chapter 4, we migrate the code to an OTP-based generic server behavior, introducing the first building block of Erlang-based systems. As more behaviors are introduced in the subsequent chapters, it will become clear how Erlang systems are architected and glued together.
1 But uglier, as we are using a case expression instead of pattern matching
in the function head.
2 You should thank us for this example. When still a student, one of the authors spent two sleepless nights trying to figure this one out after Joe Armstrong told him it was possible to solve it with four lines of code.